产品介绍
孟德尔随机化(MR)是一种利用遗传学变异作为工具变量来研究表型之间因果关系的流行病学方法。该方法基于遗传变异的随机分配原则,能够在一定程度上克服传统观察性研究中存在的混杂因素和反向因果关系问题,为因果推断提供强有力的证据
应用领域
1、药物研发与靶点预测
2、公共卫生与预防医学研究
3、表型间因果关系解析
4、肿瘤研究
5、复杂疾病病因学研究
技术路线

分析内容
研究设计确定明确待验证的暴露因素(如某蛋白水平、生活习惯)与结局指标(如疾病发生、生理性状),根据数据类型选择 MR 设计类型,常见的有两样本 MR(暴露和结局的遗传数据来自不同人群)、单样本 MR(暴露和结局数据来自同一人群)、双向 MR(探究暴露与结局是否存在双向因果关系)。
工具变量(SNP)筛选筛选满足三大核心假设的遗传变异(通常为 SNP):
汇总数据收集从全基因组关联研究(GWAS)数据库中获取暴露相关 SNP 的效应量及 P 值,以及结局相关 SNP 的效应量及 P 值,确保数据人群的种族、基线特征具有可比性。
核心因果关联分析采用多种统计学模型进行分析,以提升结果可靠性:
基础模型:逆方差加权法(IVW) 为最常用的主分析模型;
补充模型:MR-Egger 回归(可检测并校正水平多效性)、加权中位数法(适用于部分无效工具变量的情况);
辅助检验:通过 Cochran's Q 检验评估工具变量间的异质性,通过 MR-Egger 截距检验评估水平多效性。
敏感性分析验证用于检验结果的稳定性和可靠性,排除潜在偏倚:
逐一剔除 SNP 的 “留一法” 分析,验证单个 SNP 对整体结果的影响;
分层分析或亚组分析,探讨不同人群、不同特征下因果关联的一致性;
多基因风险评分(PRS)验证,整合多个 SNP 的效应,进一步评估暴露与结局的关联。
结果解读与报告结合效应量(如 OR 值、β 值)及置信区间,判断暴露与结局之间是否存在显著因果关联;评估异质性、水平多效性等偏倚对结果的影响;最终明确因果关联的方向和强度,形成研究结论。
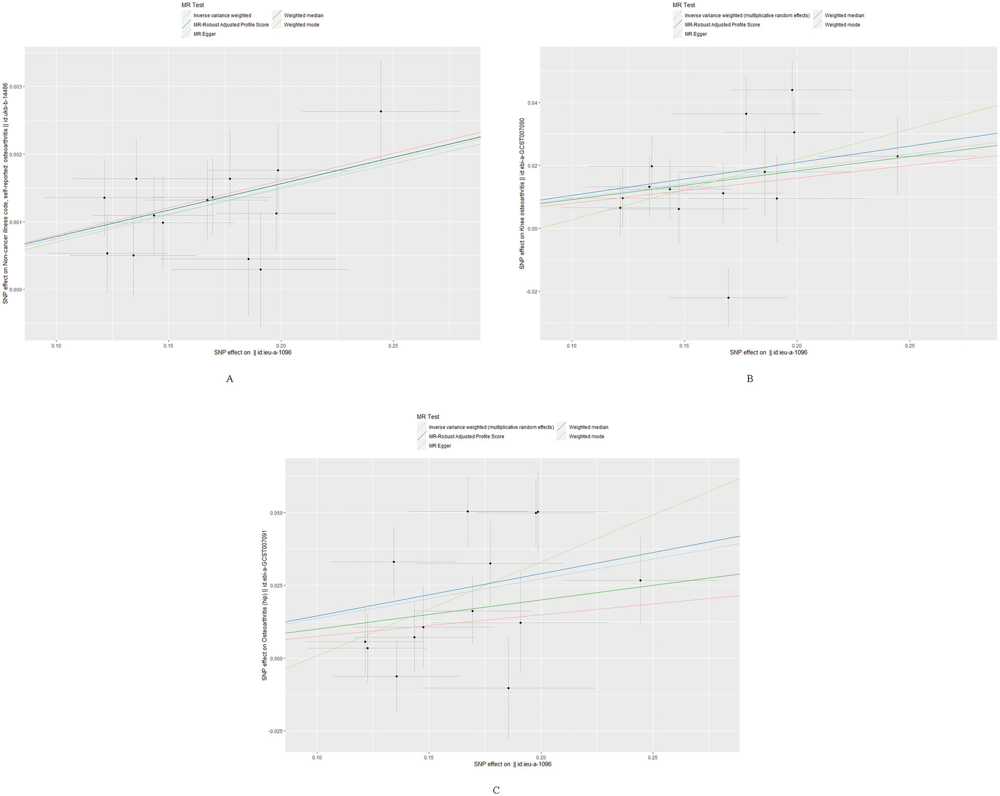
研究结果
遗传预测的儿童肥胖与骨关节炎及其亚型风险之间的因果关系森林图

遗传预测的儿童肥胖与骨关节炎及其亚型风险之间的因果关系散点图
